Fats You Need — Essential Fatty Acids

by Ben Best

(Thanks to Antonio Zamora for his reformatting of my GIF files to make them visible under Internet Explorer. See his fascinating website: http://www.scientificpsychic.com/)


CONTENTS: LINKS TO SECTIONS BY TOPIC

  1. INTRODUCTORY REMARKS
  2. FATS IN THE BODY
  3. THE CHEMISTRY OF UNSATURATED FATTY ACIDS
  4. ESSENTIAL FATTY ACIDS IN THE DIET
  5. ESSENTIAL FATTY ACIDS IN CELL MEMBRANES
  6. FATS FOR IMMUNITY
  7. FATS AGAINST CANCER
  8. FATS AGAINST DIABETES AND THE EFFECTS OF ALCOHOLISM
  9. FATS FOR THE BRAIN
  10. FATS FOR THE HEART
  11. GETTING THE BEST FAT NUTRITION
  12. CONCLUSIONS
  13. FOOTNOTES

I. INTRODUCTORY REMARKS

Losing weight not only makes a person look good, it can reduce the danger of getting heart disease, diabetes and cancer [*1]. But the health hazards and benefits of fats, carbohydrates and proteins — and their effectiveness for diets and dieting — depend greatly on the type of fat, carbohydrate and protein. (See Macronutrients, Dieting and Health)

Dietary fat by itself, not just the body fat it produces, can be a health hazard. A study has shown that reducing dietary fat from 36% of total calories to 26% of total calories can significantly lower blood pressure within 8 weeks [*2]. Saturated fat in the diet can increase the risk of heart disease from atherosclerosis (fatty plaques on blood vessel walls) by raising blood cholesterol. Unsaturated fat is more likely to form free radicals by lipid peroxidation — which can lead to cancer and may accelerate aging. Therefore, both saturated and unsaturated fat can have health hazards. But every cell membrane in the body contains fat, and some of those fats cannot by synthesized — making it essential to obtain these fats from diet.

Some nutritionists have recommended substituting mono-unsaturated and poly-unsaturated fats for saturated fats, but another recommendation is to substitute protein and carbohydrate calories for fat calories [*3]. Fats (especially animal fats) are the primary vehicle by which pesticides enter the body. Some people might conclude that it would be a good idea to eliminate all fat from the diet. But eliminating all fat is not a good idea.

(return to contents)

II. FATS IN THE BODY

Your body needs fats to function properly. Nearly half of the dry weight of the brain is fat, and a quarter of this is cholesterol. Cholesterol is an essential part of sex hormones, bile acids, D vitamins and steroid hormones from the cortex of the adrenal gland — among other important substances. Cholesterol does not need to be eaten, however, because the liver and other tissues can manufacture cholesterol from saturated fats. But too many saturated fats result in excessively high blood levels of cholesterol that can end up being deposited in atherosclerotic plaques on blood vessels, leading to cardiovascular disease. High blood cholesterol also depresses the immune system and thereby increases the incidence of cancer [*4]. Excessive blood cholesterol is more often caused by eating too many saturated fats than by eating cholesterol itself.

Studies in the United States and Northern Europe have established that the incidence of coronary heart disease mortality is nearly two-and-a-half times higher for people with the highest 25% of blood cholesterol compared with people with the lowest 25%. Yet the coronary heart disease mortality for the same cholesterol levels is only one-third as great in Japan or the Mediterranean [*6]. A person in west Scotland having the same blood cholesterol levels as a person in Catalonia, Spain is 8-times more likely to die of coronary heart disease. So although cholesterol can be a factor in coronary mortality, it is not the only factor.

The term blood cholesterol is actually a reference to HDL (High-Density Lipoprotein), LDL (Low-Density Lipoprotein) and VLDL (Very Low-Density Lipoprotein). "Lipo" means "lipid", a general term that refers to all biological fats and oils. HDL has been called "good cholesterol" because it can pick up excess fats and carry them back to the liver. LDL (and especially VLDL) has been called "bad cholesterol" because it can become so overloaded with fats that the fats are dropped on blood vessel walls rather than carried to the cells where they are needed. LDL could also be called "good", because LDL supplies cells with fats needed for structure and function. In fact, LDL is the main carrier of oil-soluble substances (like Vitamin E) to body cells [*5]. LDL-cholesterol is just HDL-cholesterol with a larger load of surrounding fat. Exercise creates HDL from LDL by removing fat from LDL for use as energy. HDL has a multitude of cardioprotective actions in addition to its role in removing cholesterol from cells [CARDIOVASCULAR RESEARCH; Kontush, A; 103(3):341-349 (2014)].

Oxidation of LDL is what causes cholesterol to be deposited in plaque on blood vessel walls [*5]. The vulnerability of LDL cholesterol to oxidation depends on both the quantity of antioxidants in the blood and on the type of fatty acid in the LDL. Fruits, vegetables and supplements (especially Vitamin E with Vitamin C) will reduce LDL oxidation. The dietary fat that is most vulnerable to oxidation is linoleic acid [*7]. High blood levels of homocysteine thiolactone cause LDL to aggregate. Oxidized, aggregated LDL is readily attacked by macrophages to form atherosclerotic plaques on blood vessel walls [*8]. Small particle LDL cholesterol most readily causes atherosclerosis [JOURNAL OF ATHEROSCLEROSIS AND THROMBOSIS; Koha,S; 15(5):250-260 (2008)] because small particles are more easily oxidized and more easily cross blood vessel walls. So LDL particle size is a more critical indicator of atherosclerotic risk than total cholesterol or LDL cholesterol.

Aside from cholesterol, most other fat in the body is constructed from what is known as fatty acids. A fatty acid is a chain of carbon atoms (studded with hydrogen atoms) that has an acid group (carboxylic acid) at one end (the water-soluble end). The rest of the fatty acid is oil-soluble, with a methyl group at the other end. Fatty acids in the body usually exist unattached to any other molecule (free fatty acids), attached to glycerol in groups of three (triglycerides), or attached to phosphatidic acid molecules (phospholipids).

Fatty acids differ from one another not only by the number of carbons in their chain, but by the number of double-bonds between the carbon atoms. Fatty acids with only single-bonds are called saturated because they are "saturated" with as many hydrogen atoms as they can carry. Fatty acids with only one double-bond are called mono-unsaturated. And fatty acids with more than one double-bond are called poly-unsaturated.

Polyunsaturated fats have often been recommended to reduce coronary heart disease [*9]. But all saturated fats do not have the same effect on cholesterol synthesis in the liver. Only the saturated fats of chain-length 12, 14 and 16 (lauric acid, myristic acid and palmitic acid) have been shown to elevate blood cholesterol. Of these, myristic acid (high in coconut and palm oil) elevates cholesterol the most [*10]. Stearic acid (18-carbon, saturated) has been shown to lower cholesterol by 21% — even more than oleic acid (18-carbon, mono-unsaturated) which lowers LDL by 15% [*11].

Polyunsaturated fatty acids can be a health hazard because carbon-carbon double bonds can lead to free-radical formation and reactions with oxygen to form unstable lipid peroxide compounds containing the same unstable oxygen-oxygen bond found in hydrogen peroxide. Lipid peroxidation and free radicals can cause cancer and may accelerate aging. High rates of lung cancer among women in China have been associated with lipid peroxidized oils in fumes from cooking polyunsaturated vegetable oils in a wok [*12]. Hot oil in open air is subject to much lipid peroxidation. Fast-food restaurants that fry foods in the same oil all day serve lots of lipid peroxides to their customers.

Polyunsaturated "cis" fatty acids can be beneficial in cell membranes by preventing the tight packing of fatty acids in membranes — thereby making the membranes more "fluid". Membrane fluidity is important for optimal function of most cells in the body. But membrane fluidity is especially important on portions of cells that act as receptors for hormones or neurotransmitters. The typical North American eats three times as much saturated fat as unsaturated fat, yet animal experiments show that insulin receptor responsiveness is substantially improved when dietary unsaturated fat is greater than saturated fat [*13]. With aging, however, cell membrane fluidity declines in part because of increasing amount of cholesterol in the membranes, but more importantly because of free-radical oxidation [*14]. Antioxidants that protect cell membranes, like Vitamin E, are extremely valuable in opposing membrane oxidation.

2-BUTANE ISOMERS
CIS ISOMERTRANS ISOMER
[ <B><I>CIS</I> ISOMER</I></B> ] [<B><I>TRANS</I> ISOMER</I></B> ]

Fatty acid double-bonds come in two configurations known as cis (carbon chains on the same side of a double-bond) and trans (carbon chains on the opposite side of a double-bond). Most of the double-bonds made by biological systems have the cis configuration. It is the cis configuration of unsaturated fatty acids that prevents tight packing of fatty acids in membranes, and hence increases membrane fluidity.

Saturated fats (like butter or lard) and fatty acids with trans double-bonds (like margarine) tend to be solids at room temperature, whereas natural fatty acids with cis double-bonds (like vegetable oils) tend to be liquids. By artificially hydrogenating vegetable oils, the food processing industry reduces the number of double bonds and causes the formation of trans fatty acids. Hydrogenation results in margarines that are more solid and less vulnerable to rancidity. Hydrogenation results in peanut butter with a trans-fat-containing oil that does not separate from the peanut paste. But when trans fatty acids are incorporated into cell membranes, the membrane fluidity is reduced and the cells do not function as well. Not all trans fatty acids in the diet are due to food processing. For example, natural butter is 5% trans fat.

(return to contents)

III. THE CHEMISTRY OF UNSATURATED FATTY ACIDS

The human body can manufacture most of the fats it needs, including cholesterol, saturated fatty acids and unsaturated fatty acids. But there are fatty acids which cannot be manufactured in the body, and which must be obtained from dietary sources, for example linoleic acid and alpha-linolenic acid. These are essential fatty acids. Linoleic acid is an 18-carbon chain with 2 double-bonds, whereas alpha-linolenic acid is an 18-carbon chain with 3 double-bonds. The position of double-bonds in a fatty acid is critical to function, and this is especially true of double-bonds close to the methyl end. For long-chain fatty acids, the body's enzymes cannot add double-bonds near the methyl end.

A fatty acid has a carboxylic acid at one end and a methyl group at the other end. Carbon atoms in a fatty acid are identified by Greek letter on the basis of their distance from the carboxylic acid. The carbon atom closest to the to the carboxylic acid is the alpha (α) carbon, the next adjacent carbon is the beta (β) carbon, etc. In a long-chain fatty acid the carbon atom in the methyl group is called the omega (ω) carbon because omega is the last letter of the Greek alphabet. Because the closest double-bond to the methyl group in linoleic acid is 6 carbon atoms away from the methyl, linoleic acid is called an omega−6 (ω−6 or n−6) fatty acid. For alpha-linolenic acid, the double-bond closest to the methyl group is only 3 carbons away, so it is an omega−3 (ω−3 or n−3) ) fatty acid. The carbon next to the carboxylic acid is called the alpha carbon because alpha is the first letter of the Greek alphabet. But to confuse matters, the acid end of a fatty acid is called the delta (δ) end.

The configuration (geometry) at the double bond can be either cis (adjacent hydrogen atoms on the same side of the molecule) or trans (adjacent atoms on the opposite side). Unsaturated fatty acids in the trans configuration are more linear, more rigid and have a higher melting-point. The distinctiveness of cis & trans fatty acids merit unique names: cis-9-octadecanoic acid is oleic acid, whereas trans-9-octadecanoic acid is elaidic acid. (For more on trans fatty acids, see my essay Are Trans-Fatty Acids a Health Hazard?.)

The body cannot make an omega−3 or omega−6 fatty acid because human metabolism cannot add a double-bond to a fatty acid that is more than 9 carbons away from the delta end. For the same reason, the body cannot convert an omega−3 to an omega−6 fatty acid, or vice-versa. But the body can make omega−9 fatty acids. And the body can add more double-bonds closer to the delta end of omega−3 and omega−6 fatty acids.

Two distinct families of essential fatty acids exist in the human body: the omega−3 family and omega−6 family. The omega−3 family (including EPA and DHA) comes from alpha-linolenic acid, and the omega−6 family (including arachidonic acid) comes from linoleic acid. Each family is the result of increasing chain length and of forming double-bonds from one of these two essential fatty acids. The two families compete for the same enzymes for forming double bonds (desaturase enzymes) and enzymes for lengthening the carbon chain (elongase enzymes). Elongase enzymes always add carbon atoms (in pairs) to the delta end of the fatty acid.

Whereas unsaturated fatty acids are denoted by the position of the first double-bond from the methyl end (omega,ω) of the fatty acid chain, the desaturase enzymes are denoted by the position from the carboyl end (delta,Δ) at which the double-bond is added. In synthesizing DHA (22:6ω−3) from EPA (20:5ω−3) an elongase produces a 24-carbon fatty acid chain, which is desaturated by Δ−6−desaturase and then shortened to the 22-carbon DHA, which leaves the saturation in the Δ−4 position [LIPIDS; Sprecher,H; 34:S153-S156 (1999)]. Less than 5% of dietary alpha-linolenic acid is converted to DHA [CURRENT OPINION IN CLINICAL NUTRITION AND METABOLIC CARE; Brenna,JT; 5(2):127-132 (2002)].

The Production of EFA Derivatives
[The Production of EFA Derivatives ]

Forming a double-bond at the 9th carbon of linoleic acid results in gamma-linolenic acid (GLA). Like alpha-linolenic acid, gamma-linolenic acid has 3 double-bonds. But gamma-linolenic acid is an omega−6, whereas alpha-linolenic is an omega−3 fatty acid. The words "alpha" and "gamma" in this case have no chemical meaning. The confusing terms "alpha-linolenic" and "gamma-linolenic" are common names, not scientific names, and are meaningless in the context of current scientific naming conventions.

Another important product of linoleic acid is arachidonic acid. Arachidonic acid is a 20-carbon omega−6 fatty acid with 4 double-bonds. Arachidonic acid, in turn, gives rise to a whole group of 20-carbon, biologically-important substances known as the eicosanoids (eicosa- is Greek for "20"), including prostaglandins, thromboxanes, lipoxins and leukotrienes — which affect immunity, inflammation and blood clotting (among other actions). But omega−3 fatty acids can also produce eicosanoids.

Noteworthy members of the omega−3 family of fatty acids manufactured from alpha-linolenic acid are EicosaPentaenoic Acid (EPA) and DocasaHexaenoic Acid (DHA). A pentaenoic acid has 5 double-bonds. A hexaenoic acid has 6 double-bonds. EPA is a 20-carbon chain fatty acid, whereas DHA is a 22-carbon chain fatty acid. Like arachidonic acid, EPA gives rise to its own class of eicosanoids. The EPA-generated eicosanoids are in the omega−3 family, as distinct from the omega−6 eicosanoids derived from arachidonic acid.

(return to contents)

IV. ESSENTIAL FATTY ACIDS IN THE DIET

The primary source of omega−6 fatty acids in the diet is linoleic acid from the oils of seeds and grains. Sunflower, safflower and corn oil are particularly rich sources of linoleic acid, which is at the root of the omega−6 fatty-acid family. Evening primrose oil and borage oil are high not only in linoleic acid, but the omega−6 derivative gamma-linolenic acid (GLA). Avocado is 15-20% oil — mainly monosaturated, but also high in linoleic acid. (Avocado has the highest fat content and the highest fiber content — soluble as well as insoluble — of any fruit.)

Alpha-linolenic acid, the primary dietary source of omega−3 fatty acids in the diet, is frequently found in green leaves. The leaves and seeds of the perilla plant (widely eaten in Japan, Korea and India) are the richest plant source of alpha-linolenic acid, although linseed oil is also a rich source. Fish oil contains very little alpha-linolenic acid, but is rich in the omega−3 derivatives EPA and DHA. Fish are at the top of a food chain based on phytoplankton (algae) that manufacture large amounts of EPA & DHA. Salmon and herring are about 4 or 5 times richer in EPA & DHA than cod [BIOCHEMICAL PHARMACOLOGY; Russo,GL; 77(6):937-946 (2009)]. Fish oils have been shown to improve insulin sensitivity and reduce inflammation in animal studies. In humans, higher intake of omega-3 fatty acids results in fewer of the pro-atherogenic small LDL particles [INTERNATIONAL JOURANAL OF MOLECULAR SCIENCES; 25:2104 (2022)]. DHA is superior to EPA in decreasing blood pressure, heart rate, and platelet aggregation [PROCEEDINGS OF THE NUTRITIONAL SOCIETY; Cottin,SC; 70(2):215-231 (2011)]. Fish can be high in toxic methylmercury, however. (For more information, see my essay Is Mercury in Fish a Health Hazard?) Possibly this is the reason fish oil supplements have not been shown to reduce cardiovascular disease in humans [INTERNATIONAL JOURANAL OF MOLECULAR SCIENCES; 19:3103 (2018)].

It has been estimated that thousands of years ago the diet of human hunter-gatherers consisted of approximately equal parts of omega−3 and omega−6 essential fatty acids [*15]. Since the beginning of agriculture ten thousand years ago there has been a steady increase in omega−6 at the expense of omega−3 fat in the human diet. This process accelerated about 50 years ago as cattle began to be fed increasingly on grains rather than grass. Recommendations by nutritionists to eat margarine rather than butter (polyunsaturated rather than saturated fats) increased the trend toward pro-inflammatory omega−6 and trans fat consumption. Currently, the ratio of omega−6 to omega−3 fatty acids in the American diet is 7−to−1 or more. There have been reasons to believe that this imbalanced essential fatty acid ratio has led to increased cancer, heart disease, allergies, diabetes and other afflictions. Much of the reason for this lies in the membranes of our cells. Nonetheless, these reasons are now being challenged:  [JOURNAL OF PREVENTIVE CARDIOLOGY; Khandelwal,S; 2:325 (2013) and JOURNAL OF THE ACADEMY OF NUTRITION AND DIETETICS; Johnson,GH; 112:1029 (2012)].

The saturated fatty acid pentadecanoic acid (C15:0) has emerged as a previously unrecognized essential fatty acid. To evaluate this proposition it has been compared to eicosapentaenoic acid (EPA) [PLOS ONE; Venn-Watson S; 17(5):e0268778 (2022)] and shown to be superior to EPA. Pentadecanoic acid is present in 1% to 3% of dairy fat [NUTRIENTS; Venn-Watson S; 15:4607 (2022)], and compares favorably with compounds intended to extend lifespan and healthspan. A metabolite of pentadecanoic acid shows it to be an endocannaboid [SCIENTIFIC REPORTS; Venn-Watson S; 12:13717 (2022)].

The table below classifies the oils found in common dietary foods on the basis of fat content, notably omega−3 (anti-inflammatory), omega−6 (pro-inflammatory), palmitate (the most harmful saturated fat) and omega−9. The table is roughly orders in descending order of healthfulness based on the above criteria (anti-inflammatory omega−3 is preferable to pro-inflammatory omega−6, and palmitate is undesirable). Palmitic acid (palmitate) induces insulin resistance in brain as well as in muscle, contributing to obesity and cognitive impairment — whereas omega-9 fatty acid (oleic acid) may have an opposite effect [JOURNAL OF CLINICAL INVESTIGATION; Benoit,SC; 2577-2589 (2009)]. The figures are based on my best judgement about what I found from various sources, including websites (caveat emptor). Other fat components may not be shown, causing the totals to be less than 100%. The asterisk on coconut oil indicates that it has healthful medium chain triglycerides in the oil. Macadamia oil is 20% palmitolaic acid. Walnuts have health benefits not represented in the oils. Pistachio oil reputedly elevates HDL cholesterol. "<1" indicates "less than one". I have re-arranged the table somewhat based on a de-emphasis of the harm of omega−6s and palmitic acid.

Percent of certain fats in various food oils

FAT/OIL

% OMEGA−3

% OMEGA−6

% PALMITATE

% OMEGA−9

hazelnut oil 0.1-0.2 14.2-13.2 4.5-5.9 68.8-78.6
canola oil 9-11 21 4 61
almond oil <1 29 <1 62
chia seed 60 15 20 5
flax seed 47 25 6 19
walnut oil* 1.5 60 <1 25
pine nut oil <1 49 6 24
hemp oil 25 55 6 12
soybean oil 7-10 51-54 10 23
coconut oil* <1 15 10 7
macadamia oil* 1-2 1-3 17 60
olive oil 1 4-21 8-20 55-83
avacado oil <1 15 15 71
cashew oil <1 15 10 60
pistachio oil* <1 33 11 69
peanut oil <1 33 10 47
pecan oil 1.5 37 7 52
sesame seed oil <1 35-50 10 35-50
milk fat (butterfat) 1 3 31 24
pumpkin seed oil <1 20-60 13-18 <1
cacao butter <1 <4 24-30 29-38
sunflower seed oil <1 50-75 4-9 <1
caraway seed oil <1 55-65 10-12 15-18
grapeseed oil <1 70 7 16
apricot kernal oil <1 20-35 3-6 55-70

For more dietary oil composition data, click on the names of the carrier base oils at: Carrier — Base Oils

(return to contents)

V. ESSENTIAL FATTY ACIDS IN CELL MEMBRANES

Phospholipids and cholesterol are the principal components of nearly all cell membranes. The backbone of a phospholipid is the same glycerol molecule that forms the backbone of triglycerides. But instead of 3 fatty acids attached to glycerol, a phospholipid consists of 2 fatty acids, a phosphate group and an alcohol. The most common alcohols are derived from serine, ethanolamine, choline and inositol. Thus, the most common phospholipids are phosphatidylcholine, phospatidylethanolamine, phosphatidylserine, and phosphatidylinositol. Phosphatidylcholine is also known as lecithin. "Commercial lecithin" (which is used as an emulsifying agent in food processing) is a mixture of phospholipids from eggs, soybeans, nuts, etc., with phosphatidylcholine as the major ingredient.

Phospholipids in Cell Membranes
[Phospholipids in Cell Membranes ]

Different cells have different quantities of phospholipid in their membranes. Gray matter in the brain is nearly 70% phospholipid, whereas brain white matter is less than half phospholipid because of high concentrations of glycolipid (sugar-fat). There is much variation in the amounts and kinds of phospholipid in membranes. Brain gray matter is 30% phosphatidylcholine whereas brain white matter is 10% phosphatidylcholine. The inner layer of neuron membranes (and cell membranes in general) primarily contain phosphatidylethanolamine & phosphatidylserine, whereas in the outer layer phosphatidylcholine, phosphatidylinositol & sphingomyelin predominate [CHEMISTRY AND PHYSICS OF LIPIDS; Kronke,Ml 101(1):109-121 (1999)]. With age, erythocytes begin to contain increasing amounts of phosphatidylserine in the outer membrane [Ibid.].

Mitochondrial and endoplasmic reticulum membranes are both 40% phosphatidylcholine. But mitochondrial membranes are also 35% phosphatidylethanolamine, whereas endoplasmic reticulum membrane is about 17% phosphatidylethanolamine.

Cells also vary considerably in the kinds of fatty acids attached to phosphatidic acid. In gray matter cell membranes, the fatty acids in the middle position of phospholipids are composed of carbon chains that are longer and more unsaturated than fatty acids found in the membrane phospholipids of most other cells. Fatty acids that are long and highly unsaturated increase membrane fluidity and functionality, which is why DHA and arachidonic acid are highly concentrated in the phospholipids of neuron synapses. Unsaturated fatty acids are also important for membrane activity at the site of hormone receptors. Insulin resistance in adult-onset diabetes is associated with fewer membrane long-chain unsaturated fatty acids due to impaired desaturase and elongase enzyme function [*16].

The alcohol portion of a phospholipid protrudes away from the membrane, whereas the two fatty acids jut into the membrane. The middle fatty acid (in the second position) is usually unsaturated (like DHA or arachidonic acid) whereas the end fatty acid (in the first position) is usually saturated (like stearic acid). Each of the 3 groups attached to the glycerol backbone has a special enzyme that can separate the group from the backbone. Phospholipase A1 enzyme attacks the attachment of the first fatty acid, Phospholipase A2 attacks the attachment of the middle fatty acid and Phospholipase D attacks the alcohol attachment. Phospholipase C — which is a major toxin secreted by bacteria — releases 1,2-DiAcylGlycerol (DAG) along with a phosphoryl base.

Phospholipase Enzymes in Cell Membranes
[Phospholipase Enzymes in Cell Membranes ]

Frequently the unsaturated fatty acid stored in the second position of a cell membrane will be arachidonic acid, EPA or DHA (especially in the neurons). The release of arachidonic acid or EPA from cell membranes by Phospholipase A2 allows the enzymes lipoxygenase and cyclooxygenase to form biologically active eicosanoids like prostaglandins (PGZs, first isolated in prostate gland), thromboxanes (TXZs, first isolated in thrombocytes) and leucotrienes (LTZs, first isolated in leucocytes). These eicosanoids can be compared to hormones, except that unlike hormones they are destroyed by local enzymes within seconds or minutes after formation. This limits the activities of eicosanoids to the area where they were released.

Having cell membranes contain fatty acids that can form the hormone-like eicosanoids gives the body the capacity to produce quick, localized action in almost any tissue or organ. The most general need for rapid, local action is the response to trauma. Therefore, eicosanoids are most often concerned with clotting, inflammation and the initiation of immune defense.
[Membrane Phosopholipid Hydrolysis by Phospholipases]

Some membrane phospholipids, such as the phosphatidylinositols, function to convert activity at cell surface G-protein-coupled receptors into intracellular signals. Hydrolysis by phospholipase C and phospholipase D produce the second messengers (intracellular messengers) DiAcylGlycerol (DAG) [which stimulates Protein Kinase C (PKC)] and Inositol triPhosphate (IP3) [which causes intracellular release of calcium]. Activated PKC concentrates in the plasma membrane where it phosphorylates membrane proteins of receptors and ion-channels to inhibit their function (negative feedback). Nuclear Factor kappaB (NF−κB) activated by PKC binds to DNA promoters & enhancers of inflammatory cytokines, among other genes. IP3 binds to the endoplasmic reticulum, releasing calcium stored in that location. DAG can be further hydrolysed by Phospholipase A2 to release more arachidonic acid. Ethanol increases Phospholipase A2 activity, increasing oxidative stress.

Three categories of PhosphoLipase A2 (PLA2) are recognized: secretory PLA2 (sPLA2), cytoplasmic PLA2 (cPLA2) and Ca2+-independent PLA2 (iPLA2). The cPLA2 is activated by Ca2+ to a much greater extent than sPLA2. Whereas sPLA2 is more prominent in inflammatory disease, cPLA2 is more associated with oxidative free radical damage. The cPLA2 shows a marked preference for hydrolyzing oxidized arachidonic acid in cell membranes, which may be important for membrane maintenance when sufficient ATP is available to synthesize and insert fresh arachidonic acid into membranes. Arachidonic acid is a particularly common constituent of brain neuron membranes and the massive release of arachidonic acid in cerebral cortex ischemia/reperfusion plays a significant role in exacerbating ischemic/reperfusion damage. The activity of cPLA2 on inner mitochondrial membranes can also be exacerbated under conditions of high oxidative stress.

There are three series of the prostaglandin and thromboxane eicosanoids: one derived from DGLA (series 1), one derived from arachidonic acid (series 2) and one derived from EPA (series 3). The series number indicates the number of double-bonds in the prostaglandin or thromboxane. Series 1 prostaglandins are not as common in the body as series 2 or 3 — in part because DGLA is not plentiful in many tissues. Series 2 predominates over series 3 for at least three reasons: (1) arachidonic acid is more readily released from cell membranes than EPA, (2) arachidonic acid reacts far more avidly with cyclo-oxygenase enzyme than does EPA and (3) contemporary Western diets contain large amount of linoleic acid, which results in large amounts of arachidonic acid in cell membranes. The predominance of arachidonic acid eicosanoids over EPA-eicosanoids due to excessively high dietary omega−6 (compared to omega−3) is at the root of many modern health problems, only some of which are concerned with the immune system.

Eicosanoid Abbreviations
[ Eicosanoid Abbreviations ]


Series-2 Eicosanoids (from Arachidonic Acid)
[Series-2 Eicosanoids (from Arachidonic Acid) ]


Series-3 Eicosanoids (from EPA)
[Series-3 Eicosanoids (from EPA) ]

Cyclooxygenases (COXs) can be divided into COX-1 (present at constant levels in most cells & tissues) and COX-2 (normally absent from most cells, but rapidly rising to high levels in response to growth factors, cytokines, hypoxia, toxins and other stimuli). COX-1 is regarded as a "housekeeping" enzyme responsible for such functions as maintaining gastrointestinal mucosal integrity and regulation of kidney blood flow. COX-2 expression in response to inflammation & mitogens may lead to cancer. COX-2 enhances the formation of prostaglandins that mediate pain & inflammation. The attempts to create drugs that specifically inhibit COX-2 without inhibiting COX-1 (which can result in gastrointestinal bleeding) is based on this simplification [BIOCHEMICAL PHARMACOLOGY 65:153-159 (2003)]. The gamma-tocopherol, but not alpha-tocopherol, form of Vitamin E has been shown to be anti-inflammatory by inhibition of the COX-2 enzyme (independent of antioxidant activity) [PROCEEDINGS OF THE NATIONAL ACADEMY OF SCIENCES (USA); Jiang,Q; 97(21):11494-11499 (2000)].

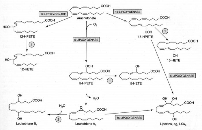
Unlike COXs, which are active in most body cells, lipogenase enzyme is primarily active in cells of the immune system. Lipogenase creates hydroperoxides from polyunsaturated fatty acids by an insertion of molecular oxygen. Both arachidonic acid (omega−6) and EPA (omega−3) can be acted-on by lipoxygenase enzyme, rather than by cyclooxygenase — resulting in leucotrienes (LTZs) rather than the prostaglandins (PGZs) & thromboxanes (TXZs) produced by cycloxoygenase. Lipoxygenase produces series 4 leucotrienes from arachidonic acid or series 5 leucotrienes from EicosaPentoic Acid (EPA). Lipoxygenase is primarily found in granulocytes. HydroxyPeroxyEicosaTetraEnoates (HPETEs) are reactive hydroperoxides which can contribute to cellular damage in atherosclerosis [THE JOURNAL OF CLINICAL INVESTIGATION 111(8):1107-1113(2003)]. HPETEs like other organic hydroperoxides (ROOH) can lead to lipid peroxidation by Fenton-like reactions.

Arachidonic Acid conversion to Leukotrienes via HPETEs
[ Arachidonic Acid conversion 
to Leukotrienes via HPETEs]
(1) = peroxidase

Ring Structures
Ring Structures

Arachidonic acid oxidized in the membranes of neurons which has been subsequently liberated by phospholipase results in enzymatic products known as isoeicosanoids because they are isomers of normal eicosanoids. Isoprostanes (isomers of cyclooxygenase-derived prostaglandins) and particularly F2-isoprostanes (isomers of prostaglandin F) have attracted special interest because they are chemically stable and can be sensitively measured using mass spectrometry. F2-isoprostanes have been used to quantify lipid peroxidation in atherosclerotic plaques, in the brains of Alzheimer's Disease patients and in the urine of smokers & myocardial infarction patients. Elevated levels of F in pericaridial fluid is correlated with severity of heart failure [CIRCULATION; Mallat,Z; 97(16):1536-1539 (1998)]. Analogous F-ring oxidized isomers of DHA breakdown products known as F4-neuroprostanes have been isolated in elevated quantity in both cerebrospinal fluid and brain tissue of Alzheimer's Disease patients [CELLULAR AND MOLECULAR LIFE SCIENCES 59:808-820 (2002)].

Normal F-Ring ProstaglandinF2-isoprostanes
[Normal F-Ring Prostaglandin] [F<SUB>2</SUB>-isoprostanes]

Cell membrane enzyme activity is significantly influenced by membrane fatty acid composition. Rats fed unsaturated fats show higher sodium-potassium pump activity than rats fed saturated fats [NEUROCHEMISTRY INTERNATIONAL; Srinivasarao,P; 31(6):789-794 (1997)]. Increasing membrane DHA content is a mechanism for cold adaptation in fish. But the longer lifespan of birds compared to similar-sized mammals is attributed to greater saturated fat content in membranes (lower peroxidizability) [JOURNAL OF EXPERIMENTAL BIOLOGY; Hulbert,AJ; 206(Pt 14):2303-2311 (2003)].

 

(return to contents)

VI. FATS FOR IMMUNITY

One very general way of classifying immunity is to distinguish between acquired immunity and innate immunity. Both systems make use of phagocytes (cells that "eat" foreign substances) and antibodies (Y-shaped chains of proteins known as immunoglobulins). Acquired immunity is seen when the immune system has identified a foreign protein as being an antigen. For innate immunity, however, there is a generalized reaction against tissue trauma and infectious agents that could as easily be described as inflammation as immunity. The swelling of inflammation is associated with immunoglobulin-E (IgE) and with an increased blood vessel permeability which allows Natural Killer cells, macrophages and neutrophils to leave the blood stream, migrate to the injured area and engulf the invaders. Although innate immune defense is not very specific, it is rapid. By contrast, the immune cells (lymphocytes) and immunoglobulins (IgM and IgG) of acquired immunity are slower to develop, but can be very powerful and very specific against antigens.

The eicosanoids produced from arachidonic acid cause a stronger inflammatory response than the eicosanoids from EPA or DGLA. The arachidonic acid products LeukoTriene B4 (LTB4) and ProstaGlandin E2 (PGE2) are powerful promoters of inflammation. LTB4 is only formed in granulocytes subject to stimuli favoring action by 5-lipoxygenase activating protein [ARCHIVES OF BIOCHEMISTRY AND PHYSICS 356(1):71-76 (1998)]. Both PGE2 & LTB4 increases tissue swelling (edema) by making the vascular endothelium more leaky. LTB4 stimulates superoxide production by neutrophils, activates Natural Killer cells and powerfully attracts inflammatory leukocytes. PGE2 increases sensitivity to pain, raises temperature and increases the formation of the allergic antibody Immunoglobulin E (IgE) [*17]. By promoting the production of less inflammatory eicosanoids than arachidonic acid, EPA is anti-inflammatory. A significant inverse exponential relationship has been demonstrated between human EPA supplementation and synthesis of the pro-inflammatory cytokines TNF−α and IL−1β [AMERICAN JOURNAL OF CLINICAL NUTRITION; Caughey,GE; 63(1):116-122 (1996)]. Moreover, EPA has been shown to facilitate removal of inflammatory cytokines [CHEMISTRY & BIOLOGY; Tjonahen,E; 13(11):1193-1202 (2006)].

Aspirin irreversibly blocks the enzyme cyclo-oxygenase, which prevents arachidonic acid from being converted to prostaglandin — thereby limiting inflammation and pain. Gamma-tocopherol (the major form of Vitamin E in food, in contrast to alpha-tocopherol, which is the major form of Vitamin E in supplement pills) also blocks cyclo-oxygenase and reduces proinflammatory PGE2 & LTB4 formation [FASEB JOURNAL 17:816-822 (2003)].

Elevated body temperature, increased sensitivity to pain, inflammation and allergic reactions are important body defense mechanisms. Inflammation reduces the spread of infection. Elevated body temperature can kill bacteria and viruses. Increased sensitivity to pain reduces movement of injured body parts, preventing injury from getting worse. But when taken to an extreme, inflammatory reactions can result in auto-immune disease, septic shock, asthma and even fatal anaphylactic shock. Chronic inflammation of the pancreas, colon and other organs increase the risk of cancer in those organs. The increasing incidence of allergies and seasonal asthmas in modern society has been attributed to increased levels of the arachidonic acid eicosanoid LTB4 due to excessively high dietary omega−6 intake relative to omega−3 [*18].

Gamma-Linolenic Acid (GLA) has been shown to be effective against the inflammation of rheumatoid arthritis in a number of studies. Although one might expect that GLA could lead to the formation of arachidonic acid's pro-inflammatory eicosanoids, there is instead a production of the anti-inflammatory prostaglandin PGE1 of the 1−series [*19,*20]. It may be that rheumatoid arthritis patients suffer from impaired function of desaturase enzymes, preventing arachidonic acid formation. In ulcerative colitis, an inflammatory condition in which desaturase enzymes are normal, both omega−3 oils from fish and perilla have been used for treatment [*21].

Feeding laboratory animals diets rich in omega−3 fatty acids (linseed or fish oil) reduces Natural Killer cell and cytotoxic T−lymphocyte activity [*22], but stimulates the more antigen-specific immunoglobulins IgM and IgG [*17]. Innate immune response, although closely tied to inflammation can be separated from inflammation to some extent. One experiment showed that both fish oil and safflower oil reduced the secretion of Interleukin-6 (a cytokine that activates lymphocyte immune-cells and increases antibody production), but that only fish oil inhibited the secretion of Tumor Necrosis Factor alpha (a cytokine that increases fever, shock and blood vessel permeability) [*23].

As a first-line defense against infection, the inflammatory/innate-immunity response can sometimes mean the difference between life and death. Adding fish oil (which contains both DHA and EPA) to the diet of rats increased the likelihood that the rats would die when subjected to bacterial infection [*24]. Mixtures of DHA and EPA strongly reduce Natural Killer and Lymphocyte Activated cells [*25]. But immune suppression appears to be more due to EPA than to DHA [*22]. In fact, when total fat intake is low, DHA shows no inhibition of immune system function, even though about 9% of DHA is converted back to EPA [*26]. The omega−6 to omega−3 proportions may also determine immune suppression. An experiment, using a mixture of safflower oil and fish oil showed no immunosuppressive effect in rats when the omega−6 to omega−3 ratio was approximately 2−to−1 [*23].

Cells of the immune system (like T-Cells, B-Cells and Macrophages) have membranes that are particularly rich in long-chain unsaturated fatty acids (such as arachidonic acid or EPA). Unlike prostaglandins, which are formed from most cells of the body, leukotrienes are made predominantly by polymorphonucleocytic leucocytes, macrophages and mast cells.

The G protein-coupled receptor GPR120 is highly expressed in adipose tissue and pro-inflammatory macrophages, functioning as an omega-3 fatty acid sensor. Through action on GPR120, treatment with both DHA and EPA was shown to reduce inflammatory cytokines while increasing insulin sensitivity [CELL; Oh,DY; 142(5):687-698 (2010)]. Chronic inflammation is an important source of insulin resistance in obesity.

Because immune system cells are so rich in arachidonic acid and EPA (and also because of their mobility and functions) immune system cells are more vulnerable to free-radical oxidation than other cells. The nutrients that most profoundly improve immune function are vitamin C, vitamin E, selenium, glutathione and zinc [*27]. All of these nutrients are antioxidants, although zinc's effects are more due to direct actions on immune cell function than due to its anti-oxidant properties [*28]. Vitamin E opposes some, but not all of the increased lipid peroxidation and immune suppression seen in essential fatty acid supplementation [*29]. Vitamin E promotes immune function by reducing PGE2 synthesis and thus increasing T-cell proliferation, IL-2 production and antibody production, while reducing IL-6 production. By scavenging the hydroperoxide necessary for COX activity, Vitamin E opposes the increase in PGE2 formation that is typically seen in aging [AMERICAN JOURNAL OF PHYSIOLOGY; Wu,D; 275(3 Pt 1):C661-C668 (1998)]. PGE2 is known to suppress lymphocyte proliferation, to suppress synthesis of chemical factors (lymphokines) influencing the immune system and to contribute to the auto-immune diseases that increase with aging [*30].

(return to contents)

VII. FATS AGAINST CANCER

High fat diets are well-known to be associated with certain kinds of cancers, including breast cancer, in particular [*31]. Although butterfat stimulates breast cancer when compared with a fat-free diet, safflower oil margarine (linoleic acid, an omega−6) has been shown to induce breast cancer much more strongly [*6]. Linoleic acid is the fat that most frequently is associated with cancer, whereas omega−3 fatty acids like DHA and perilla-oil suppress cancer [*32,*33]. It has been theorized that linoleic acid causes cancer by chronic overproduction of the inflammatory arachidonic acid eicosanoids, which stimulate the proliferation of mutated cells [*6]. Omega−3 fatty acids reduce cancer risk by markedly inhibiting Activator Protein 1 (AP−1), a transcription factor which promotes cancerous proliferation and metastasis. Omega−6 fatty acids promote cancer by blocking omega−3 activity [PROCEEDINGS OF THE NATIONAL ACADEMY OF SCIENCES (USA); Liu,G; 98(13): 7510-7515 (2001)].

PGE2 resulting from COX-2 enzyme is found in high levels in colorectal carcinomas where the prostaglandin promotes growth through transactivation of epithelial growth factor receptor signalling. PGE2 also induces expression of Vascular Endothelial Growth Factor (VEGF) in colon cancer cells, resulting in the neoangiogenesis (new blood vessels) required by growing tumors [JOURNAL OF CLINICAL INVESTIGATION; Williams,CS; 105(11):1589-1594 (2000)]. Nitric oxide is a regulator of COX-2 expression in the colon, and the phytochemical curcumin (an inhibitor of inducible nitric oxide synthetase found in curry) has been shown to reduce pre-cancerous colon lesions by 45% [CARCINOGENESIS; Rao,CV; 20(4):641-644 (1999)].

Although too much linoleic acid can increase the risk of cancer, a form of linoleic acid in which the double-bonds are closer together — known as Conjugated Linoleic Acid (CLA) — actually reduces cancer risk. CLA has been shown to significantly inhibit prostate cancer proliferation [*34] and breast cancer formation [*35] in experimental animals. Large quantities of CLA are not needed since the maximum anti-cancer effect is seen when CLA is no more than 1% of calories. There is controversy over whether CLA is an anti-oxidant. Some researchers who believe that CLA is not an anti-oxidant believe that CLA's effects are due to its blockage of arachidonic acid formation [*36,*37]. CLA has also been shown to reduce atherosclerosis in rabbits [*38]. The best dietary sources of CLA are the food products of ruminant animals (ie, animals that "ruminate" their food by chewing a cud, like cows or deer), such as beef, milk, yoghurt and cheese.

For technical details about the nature of cancer (and methods of prevention) — see my essay Cancer.

(return to contents)

VIII. FATS AGAINST DIABETES AND THE EFFECTS OF ALCOHOLISM

Insulin stimulates the delta−6−desaturase enzyme. Therefore, this enzyme's activity is much reduced in diabetes. Reduced delta-6-desaturase activity affects the omega−6 products significantly more than the omega−3 products [*39]. Although excessive arachidonic acid is associated with many modern illnesses, diabetics suffer from the effects of too little arachidonic acid. Arachidonic acid is essential for leucocyte (white blood cell) function. Reduced leucocyte function makes diabetics more vulnerable to infection [*40].

Arachidonic acid deficiency in diabetics also reduces the activity of the "sodium pump", slowing nerve conduction velocity and ultimately leading to neuropathy (diseased nerves) [*41]. Insulin is the best treatment for these arachidonic acid deficiency conditions, but gamma-linolenic acid (GLA) also restores function. GLA bypasses the delta-6-desaturase step in arachidonic acid synthesis. Evening primrose oil is the most effective omega−6 treatment for diabetic neuropathy, despite the fact that borage oil has more GLA. Although fish oil can be somewhat beneficial when used alone, fish oil can detract from the effectiveness of evening primrose oil when they are used in combination [*42].

Alcoholics suffer from disturbances of fat metabolism, notably in the liver. The liver is the most active site of delta-6-desaturase activity in the body. In fact, many (if not most) cells in the body have no delta-6-desaturase enzymes and are dependent upon the liver for omega−3/omega−6 desaturase/elongase products. Neuropathy and other conditions resulting from desaturase dysfunction in alcoholics are benefitted by both evening primrose oil and fish oil in combination [*43]. Arachidonic acid deficiency is the most serious problem for alcoholics, however, so evening primrose oil seems to be the best therapy [*44].

(return to contents)

IX. FATS FOR THE BRAIN

DHA and arachidonic acid are the predominant essential fatty acids in the human brain. Neurons cannot synthesize arachidonic acid, but astrocytes and cerebral epithelial cells have enzymes that can. Membrane fluidity and saturated fatty acid content of brain cell membranes decline with age [MOLECULAR AND CELLULAR BIOCHEMISTRY; Pu,L; 198(1-2):69-78 (1999)]. The ability of enzymes to produce the omega−6 and omega−3 family of products of linoleic and alpha-linolenic acid declines with age. One experiment showed that desaturase enzyme function in old rats was only 44% of the desaturase function in young rats [*39]. This decline in desaturase activity has provided a rationale for supplementation with GLA (bypassing the delta-6-desaturase enzyme), and for supplementation with the omega−3 products EPA and DHA. Fatty acids in human gray matter phosphatidylethanolamine is roughly 25% DHA, 25% stearic acid, 14% arachidonic and 12% oleic acid. In the outer segments of retina photo-receptors of the eye, DHA accounts for more than 50% of the fatty acid content, probably because of the high membrane fluidity required for sensitivity to light.

In the last third of pregnancy, and in the first four months after birth, rapid brain growth in the human infant requires large amounts of omega−3 and omega−6 essential fatty acids. Human milk contains (in total fatty acids by weight) 12% linoleic acid, 0.5% alpha-linolenic acid, 0.6% arachidonic acid and 0.3% DHA [*45]. Infant formulas frequently have not contained arachidonic acid or DHA. One study showed that by (or just before) age 8, children who had been breast-fed as infants had an 8.3-point IQ advantage over children who had received formula [*46]. The study corrected for the education and social class of the mother.

Support for the idea that DHA is critical for brain development came from an experiment which studied the effects of adding DHA (in the form of fish oil) to infant formula. At both 16 and 30 weeks of age the breast-fed and supplement-formula-fed infants showed significantly better visual acuity than the placebo-formula-fed infants [*47]. Arachidonic acid supplementation is also needed because DHA supplementation given alone lowers arachidonic acid levels [*48] and because arachidonic acid is essential for growth [*49,*50]. The lipoxygenase eicosanoids of arachidonic acid contribute to the ability of Nerve Growth Factor (NGF) to increase neurite outgrowth [*51]. Deficiency of arachidonic acid during brain development is less reversible than deficiency of DHA [*6]. Evidently an infant's desaturase and elongase enzymes are not fully developed because no amount of alpha-linolenic acid supplement can provide enough DHA for neural development [*52]. More recent reviews have firmly recommended the inclusion of arachidonic acid and DHA in the formula of premature babies [*53].

Children with developmental coordination disorder showed improved reading, spelling, and behavior when supplemented with omega-3 and omega-6 fatty acids [PEDIATRICS; Richardson,AJ; 115(5):1360-1366 (2003)].

It seems reasonable to wonder if dietary fat or fat supplements affect the mental function of adults. Experiments on rats indicate that manipulation of dietary fats can alter the fatty acid composition of brain-cell membranes — with effects on behavior. A diet high in saturated fat was shown to "impair a wide range of learning and memory functions" [*54]. Soybean oil has more alpha-linolenic acid than sunflower oil. Soybean-fed rats have shown significantly better learning and less sensitivity to pain than safflower-fed rats [*55]. Recent experiments testing relative concentrations of linoleic acid to alpha-linolenic acid in the range of from 3-to-1 to 6-to-1 verified that a 4-to-1 ratio is optimal for spatial learning and pain tolerance in rats [*56]. EPA & DHA supplementation increases neurogenesis in old rats [JOURNAL OF NEUROSCIENCE RESEARCH; Dyall,SC; 88(10):2091-2102 (2010)].

The influence of essential fatty acid supplement on brain membrane content declines with maturity, however. Adult cell membrane content of DHA and arachidonic acid is only slowly altered by diet or supplement. If dietary intake of essential fatty acid is low, the body will sacrifice essential fatty acid content of cell membranes outside the brain before neurons are affected. A study of elderly men, however, showed greater cognitive impairment among those with a history of high dietary linoleic acid compared with controls, whereas those with high fish consumption showed reduced cognitive decline [*57]. Another study showed reduced cognitive decline in elderly men consuming EPA & DHA [AMERICAN JOURNAL OF CLINICAL NUTRITION; van Gelder,BM; 85(4):1142-1147 (2007)]. One experiment showed promotion of neuron growth by DHA and inhibition by arachidonic acid [*58]. But an experiment on adult mice showed that excessively high supplements of DHA without arachidonic acid supplementation can impair physical and cognitive performance [*59]. Arachidonic acid may facilitate LTP-type learning in the hippocampus of the brain [*51].

An experiment studying maze-learning in rats demonstrated that, after training, the rats showed less cholesterol and more membrane fluidity in the hippocampal and cortical regions of the brain [*60]. Adult mice fed fish oil for 12 months showed more brain DHA, less brain arachidonic acid, more synaptic membrane fluidity and higher maze-learning ability [*61]. Rats fed perilla oil showed 30% more hippocampal neuron synaptic vesicle density and improved learning compared to rats fed safflower oil [*62].

Measurements of fatty acid content of brain cell (neuron) membranes show decreased DHA with aging. Since DHA is particularly concentrated in synaptic membranes, lowered DHA levels may contribute to declining brain function. DHA is also reduced when the brains of rats are experimentally exposed to high oxygen levels — suggesting that free-radical oxidation is causing the depletion in both cases. Vitamin E treatment protected the rats from neuron damage from the oxygen. This suggests that Vitamin E may be important for prevention of neurodegeneration in humans [*63]. (For more detail about DHA — see my essay DHA for Hearts and Minds).

Arachidonic acid can be released from cell membranes exposed to neurotransmitters, neuromodulators and neurohormones. The release of arachidonic acid can directly modify neuron excitability by binding with hydrophobic binding sites of ion channels or can be metabolized to eicosanoids that ineract with neuronal eicosanoid receptors to have a second messenger effect. Treatment of the elderly with both DHA and arachidonic acid (ARA) has been shown to increase both cognitive function and coronary microcirculation [JOURNAL OF PHARMACEUTICAL SCIENCES; Kiso,Y; 115(4):471-475 (2011)].

Arachidonic acid is known to worsen brain damage during stroke and other conditions of oxygen depletion. Although Vitamin E reduces the toxic effects of arachidonic acid in hypoxic conditions, N-Acetyl-Cysteine (NAC, a nutrient which increases glutathione synthesis) completely blocks the arachidonic acid toxicity. Because NAC is not an effective anti-oxidant against superoxide, the arachidonic acid toxicity must be due to lipid peroxidation [*51].

Since the 1950s it has been believed that schizophrenia is caused by brain disturbances involving the neurotransmitter dopamine. Recently it has been observed that many schizophrenics have reduced levels of DHA and arachidonic acid — and a sizable proportion of these patients do not flush red on 200 mg doses of niacin. DHA is known to be highly concentrated in synapses, suggesting that reduced sensitivity to dopamine due to low levels of DHA and arachidonic acid in dopamine receptors may be a more fundamental cause of schizophrenia than dopamine deficiency [*64]. Fish oil (EPA & DHA) has shown to be of value in reducing bipolar symptoms, but EPA or DHA alone has not [ARCHIVES OF PSYCHIATRIC NURSING; Turnbull,T; 22(5):306-311 (2008)].

As brain cell membranes age, the ratio of cholesterol to phospholipid increases and membrane fluidity decreases. A similar effect is seen in brains which are becoming tolerant to ethyl alcohol (beverage alcohol). Experiments exposing rats to ethyl alcohol showed tissue depletion of DHA and arachidonic acid, particularly in the liver [*65,*66]. Phosphatidylethanolamine in the cerebral cortex gray matter of the brains of alcoholics show lower levels of DHA and arachidonic acid [*67]. Methionine (or S-adenosylmethionine, SAM) has reversed the DHA and arachidonic acid depletion in the liver following alcohol treatment of rats [*66]. Oxidized DHA and arachidonic acid enzyme products (isoprostanes and neuroprostanes) are both markedly eleveated in the cerebrospinal fluid of Alzheimer's Disease patients as compared to age-matched controls. Lipid peroxidation would be an expected consequence of inflammatory processes associated with Alzheimer's Disease, but could also be indicative of oxidation as a cause of the disease.

(return to contents)

X. FATS FOR THE HEART

The low death rate from coronary heart disease among Greenland Eskimos led scientists to suspect that high fish consumption might be protective. A 20-year study of 852 middle-age Dutch men showed that coronary artery disease was more than 50% lower among the men who consumed at least 30 grams of fish per week, when compared with men who did not eat fish [*68]. A 30-year study of over 2,100 Chicago men showed a 62% risk of coronary heart disease and 56% risk of sudden myocardial infarction for men who ate at least 35 grams of fish daily, compared to those who ate none [*69].

Series 3 prostaglandins & thromboxanes inhibit the release of arachidonic acid from phospholipids and thus reduce formation of series 2 prostaglandins & thromboxanes. PGI3 is as potent an antiaggregator as PGI2, whereas TXA3 is a weaker platelet aggregator than TXA2 — so the series 3 products result in a less net clotting. TXA2 causes potent vasoconstriction.

Oxidative stress is known to contribute to atherosclerosis, but it is usually attributed to oxidation of LDL-cholesterol, causing it to adhere to artery walls. Some oxidative effect is also due to vascular smooth muscle cell proliferation induced by arachidonic acid derived eicosanoids functioning as transcription factors. The arachidonic acid lipoxygenase metabolites 12-HPETE and 15-HPETE act as mitogens by increasing AP-1 (Activator Protein-1) transcription factor activity [JOURNAL OF BIOLOGICAL CHEMISTRY; Rao,GN; 271(44):27760-27764 (1996)].

Fish oil has been shown to lower LDL-cholesterol by about 13% [*70], to lower blood pressure [*71], and to dramatically lower blood triglycerides [*72,*73]. The effect on triglycerides, in particular, appears to be due to EPA and DHA, because flaxseed (ie, linseed oil, which is over 50% alpha-linolenic acid) did not lower triglycerides [AMERICAN JOURNAL OF CLINICAL NUTRITION; Harris,WS; 65(Suppl 5):1645S-1654S (1997)]. Other analysis has determined that DHA alone has no effect on blood triglycerides, but that EPA alone is capable of lowering blood triglycerides by about 30% [*74]. Purified DHA was shown to lower blood pressure and reduce blood viscosity. The evidence indicated that DHA increases red blood cell membrane fluidity, thereby increasing the deformability of the blood cells so that they can move through capillaries more easily and thus lower blood viscosity and blood pressure [*75]. Fish oil has been shown to inhibit atherosclerosis in monkeys fed an atherogenic diet [ATHEROSCLEROSIS, THROMBOSIS, AND VASCULAR BIOLOGY; Davis,HR; 7(5):441-449 (1987)].

High fasting blood insulin concentrations has been determined to be an independent risk factor for ischemic heart disease [*76]. The fatty acid content of muscle membranes is critical in determining insulin sensitivity. A high-fat diet can increase insulin resistance, but one study showed that both dietary omega−3 and omega−6 fatty acids can increase membrane fluidity and thereby improve insulin sensitivity [*77]. A study on rats, however, showed that omega-6 fatty acids severely increased insulin resistance, whereas omega-3 fatty acids had the opposite effect [DIABETES; Storlein,LH; 40(2):280-289 (1991)]. A human study showed fish oil both increases insulin resistance and reduces pro-inflammatory C-reactive protein [HORMONE AND METABOLIC RESEARCH; Tsitouras,PD; 40(3):199-205 (2008)]. Long-chain fatty acids incorporated in cell membranes increases membrane fluidity and increases both the number and efficiency of insulin receptors [PROSTAGLANDINS, LEUKOTRIENES, AND ESSENTIAL FATTY ACIDS; Das,UN; 72(5):343-350 (2005)].

The protective effect of fish oil against cardiac arrhythmias (irregular heartbeats) has been strikingly illustrated by two similar experiments, one performed on rats [*78] and the other on marmoset monkeys [*79]. Middle-aged animals were fed sheep fat (saturated fat), sunflower seed oil (omega−6) or fish oil (omega−3) for 12 weeks (for rats) or for 24-30 months (for monkeys). With both rats and monkeys arrhythmia was produced in over 40% of the animals fed sheep fat, roughly 10% of the animals fed safflower oil and in none of the animals who were fed fish oil.

Although human epidemiological studies and clinical trials on the use of fish oil (DHA & EPA) have shown significant reduction in cardiovascular deaths, the results for arrhythmias are mixed. One large review showed no benefit against arrhythmia [BMJ; Leon,H; 337:a2931 (2008)], whereas a similarly large review showed some benefit against sudden cardiac death (arrhythmia) [CLINICAL CARDIOLOGY; Marik,PE; 32(7)365-372 (2009)]. Another review noted that fish oil is anti-arrhythmic for patients with prior myocardial infarction, but fish oil may be pro-arrhythmic in patients with re-entrant arrhythmia (due to acute ischemia or chronic ventricular fibrillation) [CARDIOVASCULAR RESEARCH; Den Ruijter,HM; 73(2):316-325 (2007)]. A study of diabetic patients who had suffered a myocardial infarction showed that low-dose supplementation with omega-3 fatty acids had a protective effect against ventricular arrhythmia [DIABETES CARE; Fromhout,D; 34(12):2515-2520 (2011)]. Fish oil has been shown to reduce heart rate and improve heart rate variability in overweight, sedentary persons [BRITISH JOURNAL OF NUTRITION; Ninio,DM; 100(5:1097-1103 (2008)].

Phosphatidylethanolamine from monkey heart tissue showed 5 times more (over 25% total) DHA in the fish-oil fed monkeys than in the other two groups. EPA accounted for over 6% of the fatty acid phosphatidylethanolamine of fish-oil fed monkeys, and was undetectable in the other two groups. A similar experiment on rats using purified DHA and purified EPA, rather than fish-oil, indicated that DHA is responsible for most of the anti-arrhythmic effect [*80]. It is the DHA release from membrane breakdown, rather than DHA in the bloodstream, which is protective [*81]. Moreover, DHA in the membrane increases the efficiency of the heart cyclic-AMP (a cell messenger molecule) [*82].

Although most fish oils are high in EPA and DHA, there are some fish oils which are not. Flounder, swordfish and sole are particularly low in EPA and DHA. Fish oils having the highest levels of EPA and DHA include mackerel, herring and salmon. Some fish, such as cod and haddock, store most of their fat in the liver, therefore the liver oils of these fish should be taken rather than the fillet.

Increased fish oil consumption, however, is associated with increased lipid peroxidation in heart, liver and lung tissue — moreso than in the brain [*83]. Again, Vitamin E has been recommended for those who have a high fish oil consumption to reduce lipid peroxidation [*84]. In some cases, consumption of fish can harmful due to high levels of mercury (for more detail about mercury risk — see my essay Is Mercury in Fish a Health Hazard?). Lipid peroxidation of LDL cholesterol is believed to initiate arterial wall injury and facilitate the formation of atherosclerotic foam cells. Leucocytes & endothelial cells may contribute to atherosclerosis through inflammation induced by 5-lipoxygenase [PROCEEDINGS OF THE NATIONAL ACADEMY OF SCIENCES (USA) 100(3):1238-1248 (2003)].

(For more details concerning cardiovascular disease, risk factors and prevention — see my essays Sudden Cardiovascular Death and Prevention of Cardiovascular Disease.)

(return to contents)

XI. GETTING THE BEST FAT NUTRITION

In the face of all the data, there remains the question "What omega−3 and omega−6 fatty acids should be included in the diet, and in what quantities & proportions?" One standard which is not of much use in this case is the amount of essential fatty acid intake below which a deficiency disease occurs. It is very difficult to produce a deficiency disease of essential fatty acid in normal adults, even in the poorest of diets. The important question is "What levels of essential fatty acids provide optimum health?" This question still results in considerable controversy among nutritionists.

Deficiency disease results from diets where linoleic acid is less than 1% of total calories. Governmental agencies of various nations (including the World Health Organization) recommend an omega−6 intake of 1-3% of total calories, increased to 3-6% during pregnancy and lactation. Since deficiency disease symptoms have not been unquestionably demonstrated for the omega−3 fatty acids (DHA, EPA and alpha-linolenic acid) there is controversy about how much to recommend or whether to recommend omega−3 supplementation at all [*85]. Ironically, the avidity with which enzymes preferentially utilize omega−3 fatty acids could misleadingly make it appear that omega−6 is more essential. When stated, omega−3 recommendations are often given in relation to omega−6 intake, due to the enzyme competition between the two fatty acid families.

The same enzymes that produce the omega−6 products from linoleic acid also operate to produce the omega−3 products from alpha-linolenic acid. The competition for these enzymes by omega−6 and omega−3 fatty acids is unequal, however. Alpha-linolenic acid at 0.5% of calories can suppress arachidonic acid production to the same degree as linoleic acid at 7% of calories can suppress DHA production. Nonetheless, a 14-to-1 ratio of omega−6 to omega−3 is not necessarily optimal.

A 4-to-1 ratio has been cited as optimal in a brain function experiment [*56], whereas another experiment showed 2-to-1 is the best ratio for immune function [*23]. A 5-to-1 ratio has been recommended on the basis of the ratio of omega−6 to omega−3 in human milk. But 5-to-1 is probably just a reflection of the dietary intake of contemporary mothers. The content of DHA and EPA in human milk has been increased experimentally by giving fish oil supplements to lactating women [*86].

Some advocates of "a return to natural levels" of fatty acid intake recommend dietary ratios of 1-to-1. Up until about 200 years ago, the human diet contained much higher levels of omega−3 fatty acids. The meat of wild animals that forage for food is rich in EPA, unlike the meat of domesticated animals that have been fattened with grains. High levels of dietary omega−6 vegetable oils are a modern phenomenon. A higher ratio of omega-3/omega-6 is associated with higher bone mineral density in older human adults [AMERICAN JOURNAL OF CLINICAL NUTRITION; Weiss,LA; 81(4):934-938 (2005)]. EPA competes with arachidonic acid for the cyclo-oxygenase enzyme, reducing the production of thromboxane A2, the most powerful platelet aggregating agent known. Some people feel that restoration of the historic omega−3/omega−6 ratios is a more "natural" way of preventing heart attack than using aspirin to irreversibly inactivate cyclo-oxygenase [*15]. Aspirin, even in normal therapeutic doses, can produce dizziness, migraine headaches, depression, anxiety, and stomach irritation or stomach bleeding [*87].

The high levels of omega−6 fatty acids in modern diets may even adversely affect omega−3 utilization by cellular mechanisms that reduce desaturase formation [*88]. Rats on a perilla oil diet which results in omega−6 to omega−3 ratios of approximately 1-to-4 showed the longest lifespans. Eskimos have low heart and autoimmune disease on a fish oil diet that gives a 1-to-3 ratio [*6]. Concern that the anti-clotting effect of fish oil might lead to increased incidence of stroke are apparently unfounded, since stroke is primarily the result of high blood pressure and weakened blood vessels. Nonetheless, dogs fed a relatively high omega-3/omega-6 ratio diet showed increased lipid peroxidation and reduced plasma alpha−tocopherol along with depressed PGE2 and immune response [JOURNAL OF NUTRITION; Wander,RC; 127(6):1198-1205 (1997)].

It would seem prudent to reduce fat intake of nonessential fats to as low a quantity as possible, so long as absorption of oil-soluble vitamins is not impaired. Dietary fat could mainly consist of essential fats. The value of EPA or DHA to prevent serious heart problems should be enough to encourage anyone to take an amount of these nutrients up to 1% of total calories. For a person on a 2,500 calorie daily diet, this would mean 5 to 7.5 grams of essential fatty acids per day with perhaps 500 mg each of EPA and DHA. But too much EPA and DHA can be harmful. When fish oil supplies up to 12% of calories, both the brain and the liver show arachidonic acid deficiencies [*48]. The same effect would probably be seen with excessive amounts of other omega−3 supplements, like linseed or perilla oil.

It would be nice to have a single essential fatty acid formulation that optimizes benefits to the heart, the brain and the immune system for people of all ages, but this is probably unrealistic. Since DHA is responsible for most of the omega−3 benefits to the brain and the omega−3 prevention of heart arrhythmia — while avoiding most of the immune-system depression due to EPA — omega−3 formulations that are higher in DHA rather than EPA should be preferred. For people who dislike fish oil, especially young people with healthy immune systems and functioning desaturase enzymes, perilla oil or linseed oil may be adequate to obtain a better balance between omega−6 and omega−3. Nonetheless, only about a fifth of alpha-linolenic acid is normally converted to DHA and EPA, partially because the body more readily burns unsaturated fats for energy than saturated fats [*6].

But for the very elderly, immune function might be the paramount consideration. Biomarkers of immune function were shown to be a very good predictor of the 2-year survival of 102 elderly people between the ages of 86 and 92 [*89]. A normally mild disease can be fatal to a person with a weakened immune system. One lifespan study on rats showed reduced lifespan on rats fed fish oil [*90], possibly due to immune suppression by EPA. But rats are unlike humans in that they rarely die of cardiovascular disease and they have a lower capacity to synthesize the protective eicosanoid Prostacyclin (PCI3) from EPA. Other experiments, on mice, have shown extended lifespan with fish-oil. Fish oil even increased the life-extending benefits of calorie restriction on the mice [*91].

GLA supplements like evening primrose oil, or borage oil, might seem undesirable for normal people because of the danger that they would increase arachidonic acid. But studies have shown an increase in membrane DGLA and series 1 eicosanoids, with beneficial anti-inflammatory consequences [*92]. GLA can also lower blood pressure [*93].

To minimize lipid peroxidation, essential fatty acid supplements should be taken with no less than 500 mg of Vitamin E per day. Both gamma and alpha forms of tocopherol should be included [*94] for effectiveness. Vitamin E is an antioxidant which strongly prevents membrane peroxidation. The combination of Vitamin E and omega−3 fatty acid can reduce cancer risk while protecting heart cell membranes, brain cell membranes, immune-cell membranes and the receptor membranes that allow hormones to act. Vitamin E can protect essential fatty acids from lipid peroxidation in capsules and in the bloodstream, as well as in cell membranes. But for smokers, vitamin E may not be adequate to reduce oxidation of fish oil in LDL-cholesterol, and some medical authorities have cautioned against too much fish oil consumption by smokers [*95].

Ideally, essential fatty acids and Vitamin E should be formulated together in an air-tight capsule. Vitamin C helps maintain the antioxidant capabilities of Vitamin E. Boosting glutathione levels with N-acetyl-cysteine (NAC) and the use of other antioxidant nutrients can further protect against lipid peroxidation of essential fats. Glutathione not only regenerates both Vitamin E and Vitamin C that has been oxidized, it prevents formation of deadly hydroxyl free-radicals.

(return to contents)

XII. CONCLUSIONS

Optimum dietary benefit from fat for most people would come from a program of reduced total fat, reduced saturated and unessential fat, and increased proportions of omega−3 (relative to omega−6) essential fats. A high omega−3 oil like perilla oil might be a simple remedy for young people — and the best remedy for smokers. But as most people age, they will benefit most from CLA, GLA, and DHA supplementation combined with antioxidants (especially vitamin E) to protect these polyunsaturated essential fats from oxidation.

Fats are an important component of membranes in our hearts, brains, immune cells and most of the other tissues of our bodies. Since we need these fats, it is important to ensure that we have the right kind of fats, that we have enough of them and that we protect them with antioxidants.

  [GO TO BEN BEST'S HOME PAGE] HOME PAGE

 

(return to contents)

XIII. FOOTNOTES

  • [*1] "Obesity and mortality: a review of the epidemiologic data"
  • C.G. Soloman & J.E. Manson
  •   AMERICAN JOURNAL OF CLINICAL NUTRITION 66(suppl):1044S-1050S (1997)

  • [*2] "A Clinical Trial on the Effects of Dietary Patterns on Blood
  • Pressure" Lawrence J. Appel, et.al.
  •   NEW ENGLAND JOURNAL OF MEDICINE 336(16):1117-1124 (1997)

  • [*3] "The Influence of Diet on the Appearance of New Lesions in
  • Human Coronary Arteries" David H. Blankerhorn, et.al.
  •   JOURNAL OF THE AMERICAN MEDICAL ASSOCIATION 263:1646-1652 (1990)

  • [*4] "Depressed Natural Killer and Lecithin-Induced Cell-Mediated
  • Cytotoxicity in Cholesterol-Fed Guinea Pigs"
  • Axel K. Duwe, et.al.
  •   JOURNAL OF THE NATIONAL CANCER INSTITUTE 72(2):333-338 (1984)

  • [*5] "Oxidized Phospholipids as a New Landmark in Atherosclerosis"
  • Hiroyuki Itabe
  •   PROGRESS IN LIPID RESEARCH 37(2/3):181-207 (1998)

  • [*6] "Dietary Fatty Acids — the N-6/N-3 Balance and Chronic
  • Diseases. Excess Linoleic Acid and the Relative N-3 Deficiency
  • Syndrome Seen in Japan" Harumi Okuyama, et.al.
  •   PROGRESS IN LIPID RESEARCH 35(4):409-457 (1997)

  • [*7] "Influence of long-chain polyunsaturated fatty acids on
  • oxidation of low density lipoprotein" R.C.Wander, et.al.
  •   PROSTAGLANDINS, LEUKOTRIENES AND ESSENTIAL FATTY ACIDS
  •    59(2):143-151 (1998)

  • [*8] THE HOMOCYSTEINE REVOLUTION Kilmer S. McCully
  • page 65, Keats Publishing (1997)

  • [*9] "It is more important to increase the intake of unsaturated
  • fats than to decrease the intake of saturated fats: evidence from
  • clinical trials relating to ischemic heart disease" Michael F. Oliver
  •   AMERICAN JOURNAL OF CLINICAL NUTRITION 66(suppl):980S-986S (1997)

  • [*10] "Effect of the individual saturated fatty acids on serum lipids
  • lipids and lipoprotein concentrations." Ronald P. Mensink
  •   AMERICAN JOURNAL OF CLINICAL NUTRITION 53(suppl):711S-714S (1993)

  • [*11] "Effect of Dietary Stearic Acid on Plasma Cholesterol and
  • Lipoprotein Levels" A. Bonanome & S.M. Grundy
  •   NEW ENGLAND JOURNAL OF MEDICINE 318:1244-1248 (1988)

  • [*12] "Mutagens from Heated Chinese and U.S. Cooking Oils"
  • P.G. Shields, et.al.
  •   JOURNAL OF THE NATIONAL CANCER INSTITUTE 87(11):836-841 (1995)

  • [*13] "Dietary fat:exogenous determination of membrane structure
  • and function" M.T.Clandinin, et.al.
  •   THE FASEB JOURNAL 5:2761-2769 (1991)

  • [*14] "Lipid Peroxidation Contributes to Age-Related Membrane
  • Rigidity" Myeon Choe, et.al.
  •   FREE RADICAL BIOLOGY & MEDICINE 18(6):9977-984 (1995)

  • [*15] "A new era for science in nutrition" A. Leaf & P.C. Weber
  •   AMERICAN JOURNAL OF CLINICAL NUTRITION 45:1048-1053 (1987)

  • [*16] "Does Dietary Fat Influence Insulin Action?"
  • L.H.Storlien, et.al.
  •   ANNALS OF THE NEW YORK ACADEMY OF SCIENCES 827:287-301 (1997)

  • [*17] "A High Alpha-Linolenate Diet Suppresses Antigen-Induced
  • Immunoglobulin E Response and Anaphylactic Shock in Mice"
  • Shiro Watanabe, et.al.
  •   JOURNAL OF NUTRITION 124:1566-1573 (1994)

  • [*18] "Effect of Dietary Supplementation with Polyunsaturated
  • Fatty Acids on Bronchial Hyperreactivity in Subjects with
  • Seasonal Asthma" F.Villani, et.al.
  •   CLINICAL INVESTIGATIONS 65:265-269 (1998)

  • [*19] "Gamma-Linoleic Acid Treatment of Rheumatoid Arthritis"
  • Robert B. Zurier, et.al.
  •   ARTHRITIS & RHEUMATISM 39(11):1808-1817 (1996)

  • [*20] "Treatment of Rheumatoid Arthritis with
  • Gammalinolenic Acid" Lawrence J. Leventhal
  •   ANNALS OF INTERNAL MEDICINE 119:867-873 (1993)

  • [*21] "Reducing Cell Membrane n-6 Fatty Acids Attenuate
  • Mucosal Damage in Food-Sensitive Enteropathy in Mice"
  • Yoshikazu Ohtsuka, et.al.
  •   PEDIATRIC RESEARCH 42(6):835-839 (1997)
  • "Metabolic Characteristics of Healthy Adult Males as Affected by
  • Ingestion of a Liquid Nutritional Formula Containing Fish Oil,
  • Oligosaccharides, Gum Arabic and Antioxidant Vitamins"
  •   FOOD AND CHEMICAL TOXICOLOGY 35:1165-1176 (1997)
  • "Fish Oil Fatty Acid Supplementation in Active Ulcerative Colitis: A
  • Double-Blind, Placebo-Controlled, Crossover Study"
  • Alex Aslan and George Triadafilopoulos
  •   THE AMERICAN JOURNAL OF GASTROENTEROLOGY 87(4):432-437 (1992)

  • [*22] "Eicosapentaenoic and Docosahexaenoic Acid Alter Rat Spleen
  • Leukocyte Fatty Acid Composition and Prostaglandin E2
  • Production But Have Different Effects on Lymphocyte Functions and
  • Cell-Mediated Immunity" L.D. Peterson, et.al.
  •   LIPIDS 33:171-180 (1998)

  • [*23] "Immunoregulation by Parental Lipids: Impact of the n-3 to n-6
  • Fatty Acid Ratio" Helmut Grimm, et.al.
  •   JOURNAL OF PARENTERAL AND ENTERAL NUTRITION 18:417-421 (1994)

  • [*24] "Dietary fish oil diminishes lymphocyte adhesion to macrophage
  • and endothelial cell monolayers" P.Sanderson & P.C.Calder
  •   IMMUNOLOGY 94:79-87 (1998)

  • [*25] "Modulation in vitro of human natural cytotoxicity, lymphocyte
  • proliferative response to mitogens and cytokine production by
  • essential fatty acids" P. Purasiri
  •   IMMUNOLOGY 92:166-172 (1997)

  • [*26] "Dietary Docosahexaenoic Acid and Immunocompetence in Healthy
  • Young Men" D.S. Kelley, et.al.
  •   LIPIDS 33:559-566 (1998)

  • [*27] "Vitamin E supplementation enhances cell-mediated immunity in
  • healthy elderly subjects" Simin Nikbin Meydani, et.al.
  •   AMERICAN JOURNAL OF CLINICAL NUTRITION 52:557-563 (1990)

  • [*28] "Zinc and immune function: the biological basis of altered
  • resistance to infection" Anuraj Shankar & Ananda Prasad
  •   AMERICAN JOURNAL OF CLINICAL NUTRITION 68(Supp):447S-463S (1997)

  • [*29] "Increased vitamin E intake restores fish-oil-induced
  • suppressed blastogenesis of mitogen-stimulated T-lymphocytes"
  • Tim R. Kramer, et.al.
  •   AMERICAN JOURNAL OF CLINICAL NUTRITION 54:896-902 (1991)
  • "Modulation of Antioxidant Enzymes and Programmed Cell Death by
  • n-3 Fatty Acids" Gabriel Fernandes
  •   LIPIDS 31:S91-S96 (1996)
  • "Lipid Peroxidation During n-3 Fatty Acid and Vitamin E
  • Supplementation in Humans"
  •   LIPIDS 32:535-541 (1997)

  • [*30] "Antioxidants and immune response in aged persons: an overview
  • of present evidence" Simin Nikbin Meydani, et.al.
  •   AMERICAN JOURNAL OF CLINICAL NUTRITION 62(Supp):1462S-1476S (1995)
  • "Vitamin E Enhancement of T Cell-Mediated Function in the Healthy
  • Elderly: Mechanisms of Action" Simin Nikbin Meydani
  •   NUTRITION REVIEWS 53(4):S52-S58 (1995)

  • [*31] Conjugated Dienoic Linoleate: A Polyunsaturated Fatty
  • Acid with Unique Chemoprotective Properties" Martha Ann Belury
  •   NUTRITION REVIEWS 53(4):83-89 (1995)

  • [*32] "DHA Feeding Provides Host Protection and Prevents
  • Fibrosarcoma-Induced Hyperlipidemia While Maintaining the Tumor
  • Response to AraC in Fischer 344 Rats" Trevor Atkinson, et.al.
  •   NUTRITION AND CANCER 28(3):225-235 (1997)

  • [*33] "Suppressive Effects of Low Amounts of Safflower and
  • Perilla Oil on Diethylnitrosamine-Induced Hepatocarcinosis
  • in Male F344 Rats" Masataka Okuno, et.al.
  •   NUTRITION AND CANCER 30(3):186-193 (1988)

  • [*34] "Opposite Effects of Linoleic Acid and Conjugated Linoleic
  • Acid on Human Prostatic Cancer in SCID Mice" Alexandra Cesano, et.al.
  •   ANTICANCER RESEARCH 18:833-838 (1998)

  • [*35] "Conjugated Linoleic Acid and Linoleic Acid Are Distinctive
  • Modulators of Mammary Carcinogenesis" Clement Ip & Joseph Scimeca
  •   NUTRITION AND CANCER 27(2):131-135 (1997)

  • [*36] "Reinvestigation of the Antioxidant Properties of Conjugated
  • Linoleic Acid" Jeroen J.M. van den Berg, et.al.
  •   LIPIDS 30:599-605 (1995)

  • [*37] "Effects of Dietary Conjugated Linoleic Acid on Lymphocyte
  • Function and Growth of Mammary Tumors in Mice" Mun Wah Wong, et.al.
  •   ANTICANCER RESEARCH 17:987-994 (1997)

  • [*38] "Conjugated linoleic acid and atherosclerosis in rabbits"
  • Kisum N. Lee, et.al.
  •   ATHEROSCLEROSIS 108:19-25 (1994)

  • [*39] "Gamma-Linolenic acid dietary supplementation can reverse the
  • aging influence on rat liver microsome delta-6-desaturase activity"
  • Pier L. Biagi, et.al
  •   BIOCHEMICA ET BIOPHYSICA ACTA 1083:187-192 (1991)

  • [*40] "Changes in arachidonic acid metabolism and the
  • aggregation of polymorphonuclear leukocytes in rats with
  • streptozotocin-induced diabetes"
  • Yasuhito Nakagawa & Erika Ishii
  •   BIOCHEMICA ET BIOPHYSICA ACTA 1315:145-151 (1996)

  • [*41] "Alterations of Na,K-ATPase Isoenzymes in the Rat Diabetic
  • Neuropathy: Protective Effect of Dietary Supplementation with
  • n-3 Fatty Acids"
  •   JOURNAL OF NEUROCHEMISTRY 71(2):732-740 (1998)

  • [*42] "Comparison of the Effects of Evening Primrose Oil and
  • Triglycerides Containing Gamma-Linolenic Acid on Nerve
  • Conduction and Blood Flow in Diabetic Rats" Kevin C. Dines, et.al.
  •   THE JOURNAL OF PHARMACOLOGY AND EXPERIMENTAL THERAPEUTICS
  •   273(1):49-55 (1995)
  • "Effects of dietary supplementation with arachidonic acid rich
  • oils on nerve conduction and blood flow in streptozotocin-diabetic
  • rats" M.A.Cotter & N.E.Cameron
  •   PROSTAGLANDINS, LEUKOTRIENES AND ESSENTIAL FATTY ACIDS
  •   56(5):337-343 (1997)

  • [*43] "Fish oil reduces ethanol-induced damage of the duodenal
  • mucosa in humans" W. Schepp, et.al.
  •   EUROPEAN JOURNAL OF CLINICAL INVESTIGATION 21:230-237 (1991)

  • [*44] "The Effects of Chronic Ethanol Administration on Rat
  • Liver and Erythrocyte Lipid Composition: Modulatory Role of
  • Evening Primrose Oil" R. Corbett, et.al.
  •   ALCOHOL & ALCOHOLISM 26(4):459-464 (1991)
  • "Effects of an oil enriched in gamma linolenic acid on locomotor
  • activity and behavior in Morris Maze, following in utero ethanol
  • exposure in rats" Orla Duffy, et.al.
  •   DRUG AND ALCOHOL DEPENDENCE 30:65-70 (1992)
  • "Attenuation of the effects of chronic ethanol administration in
  • the human lipid content of the developing rat by an oil enriched
  • in gamma linolenic acid" Orla Duffy, et.al.
  •   DRUG AND ALCOHOL DEPENDENCE 31:85-89 (1992)

  • [*45] "Human milk and formula fatty acids" S.M. Innis
  •   JOURNAL OF PEDIATRICS 123:386-390 (1993)

  • [*46] "Breast milk and subsequent intelligence quotient in children
  • born preterm" A.Lucas, et.al.
  •   LANCET 339:261-264 (1992)

  • [*47] "Are long-chain polyunsaturated fatty acids essential
  • nutrients in infancy?" Maria Makrides, et.al.
  •   LANCET 345:1463-1468 (1995)

  • [*48] "Function of Dietary Polyunsaturated Fatty Acids in the
  • Nervous System" J.M. Bourre, et.al.
  •   PROSTAGLANDINS, LEUKOTRIENES AND ESSENTIAL FATTY ACIDS 48:5-15 (1993)

  • [*49] ""Arachidonic acid status correlates with first year growth
  • in preterm infants" Susan E. Carlson, et.al.
  •   PROCEEDINGS OF THE NATIONAL ACADEMY OF SCIENCES OF THE U.S.A.
  •    90:1073-1077 (1993)

  • [*50] "Visual Acuity and the Essentiality of Docasahexanoic Acid
  • and Arachidonic Acid in the Diet of Term Infants" Eileen Birch, et.al.
  •   PEDIATRIC RESEARCH 44(2):201-209 (1998)

  • [*51] "Arachidonic Acid As a Neurotoxic and Neurotropic substance"
  • Hiroshi Katsuki & Shoki Okuda
  •   PROGRESS IN NEUROBIOLOGY 46:607-636 (1995)

  • [*52] "Is Dosasahexaenoic Acid Necessary In Infant Formula? Evaluation
  • of High Linolenate Diets in the Neonatal Rat" James Woods, et.al.
  •   PEDIATRIC RESEARCH 40(5):687-694 (1996)

  • [*53] "Are deficits of arachidonic acid and docosahexaenoic acids
  • responsible for the neural and vascular complications of preterm
  • babies?" Michael Crawford, et.al.
  •   AMERICAN JOURNAL OF CLINICAL NUTRITION 66(Supp):1032S-1041S (1997)

  • [*54] "Learning and Memory Impairment in Rats Fed a High Saturated
  • Fat Diet" C. Greenwood & G. Winocur
  •   BEHAVIORAL AND NEURAL BIOLOGY 53:74-87 (1990)

  • [*55] "Modulation of learning, pain thresholds, and thermoregulation
  • in 4he rat by preparations of free purified alpha-linolenic and
  • linoleic acids" S. Yehoda & R. Carasso
  •   PROCEEDINGS OF THE NATIONAL ACADEMY OF SCIENCES OF THE U.S.A.
  •   90:10345-10349 (1993)

  • [*56] "Modulation of Learning and Neuronal Membrane Composition in
  • the Rat by Essential Fatty Acid Preparation: Time-Course Analysis"
  • Shlomo Yehuda, et.al.
  •   NEUROCHEMICAL RESEARCH 23(5):627-634 (1998)

  • [*57] "Polyunsaturated Fatty Acids, Antioxidants, and Cognitive
  • Function in Very Old Men" S.Kalmijn, et.al.
  •   AMERICAN JOURNAL OF EPIDEMIOLOGY 145(1):33-41 (1997)

  • [*58] "Membrane Fatty Acid Modification of PC12 Cells by
  • Arachidonate or Docosahexaenoate Affect Neurite Outgrowth But Not
  • Norepinephrine Release" Atsushi Ikemoto, et.al.
  •   NEUROCHEMICAL RESEARCH 22(6):671-678 (1997)

  • [*59] "Arachidonic Acid Offsets the Effects on Mouse Brain and
  • Behavior of a Diet with a Low (n-6):(n-3) Ratio and Very High
  • Levels of Docasahexanoic Acid" P.E. Wainwright, et.al.
  •   JOURNAL OF NUTRITION 127:184-193 (1997)

  • [*60] "Learning-Induced Changes in Brain Membrane Cholesterol and
  • Fluidity: Implications for Brain Aging" A. Kessler & S. Yehuda
  •   INTERNATIONAL JOURNAL OF NEUROSCIENCE 28:73-82 (1985)

  • [*61] "Effect of the long-term feeding of dietary lipids on the
  • learning ability, fatty acid composition of brain stem phospholipids
  • and synaptic membrane fluidity in adult mice:  a comparison of
  • sardine oil diet with palm oil diet" Hiramitsu Suzuki, et.al.
  •   MECHANISMS OF AGING AND DEVELOPMENT 101:119-128 (1998)

  • [*62] "Synaptic Vesicle Ultrastructural Changes in the Rat
  • Hippocampus Induced by a Combination of alpha-Linolenate Deficiency
  • and a Learning Task" S. Yoshida, et.al.
  •   JOURNAL OF NEUROCHEMISTRY 68(3):1261-1268 (1997)

  • [*63] "Aging and oxidative stress in neurodegeneration"
  • Shiro Urano, et.al.
  •   BIOFACTORS 7:103-112 (1996)

  • [*64] "Membrane fatty acids, niacin flushing and clinical
  • parameters" A.I.M. Glen, et.al.    PROSTAGLANDINS, LEUKOTRIENES
  •    AND ESSENTIAL FATTY ACIDS 55(1&2):9-15 (1996)
  • "Phospholipases: in search of a genetic basis of schizophrenia"
  • Craig J. Hudson, et.al.    PROSTAGLANDINS, LEUKOTRIENES
  •    AND ESSENTIAL FATTY ACIDS 55(1&2):119-122 (1996)

  • [*65] "Losses of Arachidonic Acid in Rat Liver After Alcohol
  • Inhalation" Norman Salem, Jr., et.al.
  •   LIPIDS 31(Supp):S153-S156 (1996)

  • [*66] "Effect of Methionine on the Fatty Acid Composition of
  • Cellular Membranes in Rat with Chronic Ethanol Consumption and
  • and Jejunioleal Bypass" A.R. Waladkhani, et.al.
  •   ALCOHOL & ALCOHOLISM 31(5):463-469 (1996)

  • [*67] "Alcohol, Fatty Acids, and Diet" Norman Salem, Jr.
  •   ALCOHOL HEALTH & RESEARCH WORLD 13(3):211-218 (1989)

  • [*68] "The Inverse Relation Between Fish Consumption and 20-Year
  • Mortality From Coronary Heart Disease"
  • Daan Kromhout, et.al.
  •   NEW ENGLAND JOURNAL OF MEDICINE 312:1205-1209 (1985)

  • [*69] "Fish consumption and the 30-year risk of fatal
  • myocardial infarction" Martha Daviglus, et.al.
  •   NEW ENGLAND JOURNAL OF MEDICINE 336(15):1046-1053 (1997)

  • [*70] "Changes in Blood Lipids and Fibrinogen with a Note on
  • Safety in a Long Term Study on the Effects of n-3 Fatty Acids in
  • Subjects Receiving Fish Oil Supplements and Followed for
  • Seven Years" Reginald Saynor & Timothy Gillott
  •   LIPIDS 27(7):533-538 (1992)

  • [*71] "The Antihypertensive Effects of Fish Oil"
  • Howard Knapp & Garret FitzGerald
  •   NEW ENGLAND JOURNAL OF MEDICINE 320:1037-1043 (1989)

  • [*72] "Nutritional attributes of traditional flaxseed in healthy
  • young adults" Stephen Cunnane, et.al.
  •   AMERICAN JOURNAL OF CLINICAL NUTRITION 61:62-68 (1994)

  • [*73] "Are fish oils beneficial in the prevention and treatment of
  • coronary artery disease?" Sonja Connor & William Connor
  •   AMERICAN JOURNAL OF CLINICAL NUTRITION 66(Supp):1020S-1031S (1997)

  • [*74] "Eicosapentaenoic Acid is Primarily Responsible for
  • Hypotriglyceridemic Effect of Fish Oil in Humans"
  • Gro S. Rambjor, et.al.
  •   LIPIDS 31(Supp):S45-S49 (1996)

  • [*75] ""Docasahexanoic Acid Inhibits Bloods Viscosity in Stroke-
  • Prone Spontaneously Hypertensive Rats" Shinichi Kimura, et.al.
  •   RESEARCH COMMUNICATIONS IN MOLECULAR PATHOLOGY AND PHARMACOLOGY
  •   100(3):351-361 (1998)

  • [*76] "Fasting Insulin and Apolipoprotein B Levels and
  • Low-Density Lipoprotein Particle Size as Risk Factors for
  • Ischemic Heart Disease" Benoit Lamarche, et.al.
  •   JOURNAL OF THE AMERICAN MEDICAL ASSOCIATION 279:1955-1961 (1998)
  • "Hyperinsulinemia as an Independent Risk Factor for Ischemic
  • Heart Disease" Jean-Pierre Depres, et.al.
  •   NEW ENGLAND JOURNAL OF MEDICINE 334:952-957 (1996)

  • [*77] "The Relation Between Insulin Sensitivity and Fatty-Acid
  • Composition of Skeletal-Muscle Phospholipids" Mark Borkman, et.al.
  •   NEW ENGLAND JOURNAL OF MEDICINE 328:238-244 (1993)

  • [*78] "Relative effects of dietary saturated, mono-unsaturated, and
  • polyunsaturated fatty acids on cardiac arrhythmias in rats"
  • Peter McLennen
  •   AMERICAN JOURNAL OF CLINICAL NUTRITION 57:207-212 (1993)

  • [*79] "Dietary modulation of lipid metabolism and mechanical
  • performance of the heart" John Charnock, et.al.
  •   MOLECULAR AND CELLULAR BIOCHEMISTRY 116:19-25 (1992)

  • [*80] "The cardioprotective role of docosahexanoic acid"
  • Peter McLennen
  •   EUROPEAN JOURNAL OF PHARMACOLOGY 300:83-89 (1996)

  • [*81] "Prevention of Cardiac Arrhythmia by Dietary (n-3)
  • Polyunsaturated Fatty Acids and their Mechanism of Action"
  • Sudheera Nair, et.al.
  •   JOURNAL OF NUTRITION 127:383-393 (1997)

  • [*82] "Membrane Docosahexanoic Acid vs. Eicosapentaenoic Acid and
  • the Beating Function of the Cardiomyocyte and Its Regulation
  • Through Adrenergic Receptors" Alan Grynberg, et.al.
  •   LIPIDS 31(Supp):S205-S210 (1996)

  • [*83] "Lipid Peroxidation in Rat Tissue Slices: Effect of Dietary
  • Vitamin E, Corn Oil-Lard and Menhaden Oil" Brian E.Leibovitz, et.al.
  • LIPIDS 25(3):125-129 (1990)
  • "The Effect of a Fish Oil Enriched Diet on Oxygen Toxicity and
  • Lipid Peroxidation in Mice" Alex Burns, et.al.
  •   BIOCHEMICAL PHARMACOLOGY 42(7):1353-1360 (1991)

  • [*84] "Lipid Peroxidation and Antioxidant Status Is Affected by
  • Different Vitamin E Levels When Feeding Fish Oil"
  • Sung-Hee Chao & Young-Sun Choi
  •   LIPIDS 29(1):47-52 (1994)

  • [*85] NUTRITION: A REFERENCE HANDBOOK David A. Bender
  • & Arnold E. Bender page 133, Oxford University Press (1997)
  •   HUMAN NUTRITION Helen A. Guthrie & Mary F. Picciano
  • page 136 Mosby (1995)

  • [*86] "Dietary Fish Oil Increases omega−3 Long-Chain
  • Polyunsaturated Fatty Acids in Human Milk" Anonymous
  •   NUTRITION REVIEWS 43(10):302-303 (1985)

  • [*87] BENEFICIAL AND TOXIC EFFECTS OF ASPIRIN
  • Susan E. Feinman, Editor CRC Press (1994)

  • [*88] "Minimum Requirements of n-3 and n-6 Essential Fatty Acids
  • for the Function of the Central Nervous System and for the
  • Prevention of Chronic Disease" Harumi Okuyama
  •   PROCEEDING OF THE SOCIETY FOR EXPERIMENTAL BIOLOGY AND MEDICINE
  •   200:174-176 (1992)

  • [*89] "Immune Parameters in a Longitudinal Study of a Very Old
  • Population of Swedish People: A Comparison Between Survivors and
  • Nonsurvivors" Frederick G. Ferguson, et.al.
  •   JOURNAL OF GERONTOLOGY: BIOLOGICAL SCIENCE 50A(6):B378-B382 (1995)

  • [*90] "Life Span is Shortened in BHE/cdb Rats Fed a Diet Containing
  • 9% Menhaden Oil and 1% Corn Oil" Carolyn C Berdanier, et.al.
  •   JOURNAL OF NUTRITION 122:1309-1317 (1992)

  • [*91] "Effects of Calorie Restriction and omega−3 Fatty Acids on
  • Autoimmunity and Aging" Gabriel Fernandes
  •   NUTRITION REVIEWS 53(4):S72-S79 (1995)

  • [*92] "Dietary Supplementation with Gamma-Linolenic Acid Alters
  • Fatty Acid Content and Eicosanoid Production in Healthy Humans"
  • Margaret Johnson, et.al.
  •   JOURNAL OF NUTRITION 127:1435-1444 (1997)

  • [*93] "Dietary borage oil alters plasma, hepatic and vascular
  • tissue fatty acid composition in spontaneously hypertensive rats"
  • M.M. Engler & M
    . Engler
  •   PROSTAGLANDINS, LEUKOTRIENES AND ESSENTIAL FATTY ACIDS
  • 59(1):11-15 (1998)

  • [*94] "Effects of alpha- and gamma-Tocopherols on the Autooxidation
  • of Purified Sunflower Triacylglycerols" Maria Dolores Fuster, et.al.
  •   LIPIDS 33(7):715-722 (1998)
  • "Gamma, but not alpha, tocopherol levels in serum are reduced in
  • coronary heart disease patients" M.Ohrvall, et.al.
  •   JOURNAL OF INTERNAL MEDICINE 239:111-117 (1996)

  • [*95] "Fish oil ingestion in smokers and nonsmokers enhances
  • peroxidation of plasma lipoproteins" D. Harats
  •   ATHEROSCLEROSIS 90:127-139 (1991)

  • [*96] "n-3 Polyunsaturated Fatty Acids and Cytokine Production in
  • Health and Disease" Philip C. Calder
  •   ANNALS OF NUTRITION AND METABOLISM 41:203-234 (1997)

    (return to contents)

    SOME OTHER ON-LINE REFERENCES

     
    [GO TO BEN BEST'S HOME PAGE] HOME PAGE